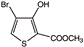
Methyl 4-bromo-3-hydroxythiophene-2-carboxylate-10
Item No.
61287737
CAS Number 95201-93-7 Synonyms •4-Bromo-3-hydroxythiophene-2-carboxylic acid methyl ester Chemical Properties: MDL: MFCD00052081 Formula: C6H5BrO3S Melting point: 79-80° Formula weight: 237.08
Description
| CAS Number | 95201-93-7 |
| Synonyms | •4-Bromo-3-hydroxythiophene-2-carboxylic acid methyl ester |
| Chemical Properties: | |
| MDL: | MFCD00052081 |
| Formula: | C6H5BrO3S |
| Melting point: | 79-80° |
| Formula weight: | 237.08 |
Item Info:
| Item Title | Methyl 4-bromo-3-hydroxythiophene-2-carboxylate-10 |
| g | |
| Category: | Chemicals |
| Sales Unit of Measure | EA1 |
| Last Date/Time Modified | 12/30/2024 10:41:18 AM |
Thermocouple Probe, Teflon Coated, 1/8" Dia X 6' L
Item No.
50076044
$119.00
Thermocouple Probe, Teflon Coated, 1/4" Dia X 6' L
Item No.
50076042
$123.00